研究报告
作者:Bryan Comer [International Council on Clean Transportation (ICCT)], Samantha McCabe [Energy and Environmental Research Associates (EERA)], Edward W. Carr (EERA), Max Elling (EERA), Elise Sturrup (ICCT), Bettina Knudsen (Explicit ApS), Jörg Beecken (Explicit ApS) and James. J. Winebrake (EERA)
2023年10月11日
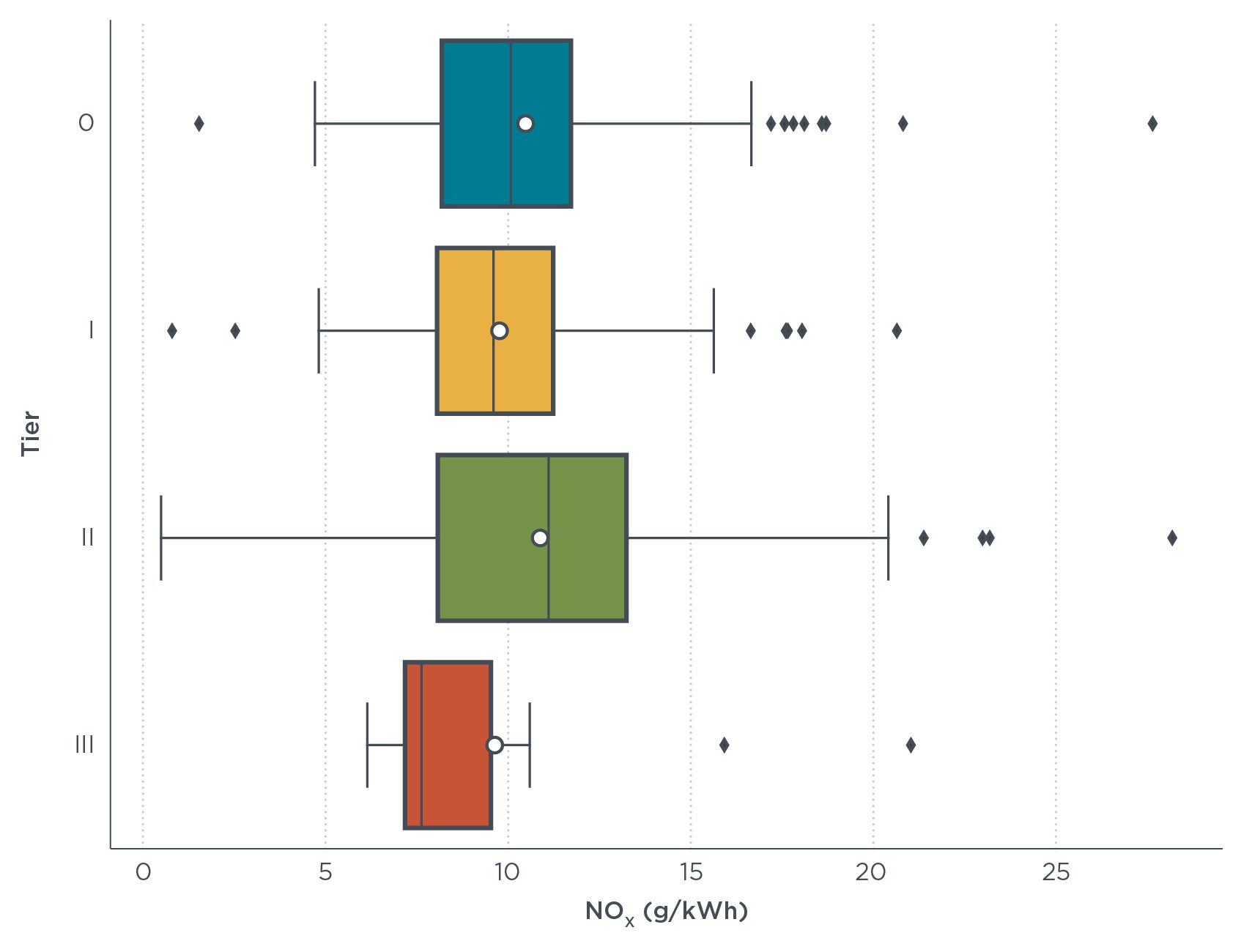
本研究报告分析了2019年在北海与波罗的海之间的丹麦海域航行的545艘船舶的615组实际氮氧化物(NOX)排放样本。排放量数据通过 “嗅探器”(sniffers)采集——安装有该设备的直升机飞入船舶的排气羽流中进行测量。采集的数据覆盖了船舶所有发动机年限等级(Tier)。
较新型的Tier II级发动机,其氮氧化物排放速率显著高于较老旧的Tier I级发动机;此外,未受法规管控的Tier 0级发动机与Tier II级发动机的氮氧化物排放速率,在统计层面并无差异。
图 S1. 观测氮氧化物排放速率分布箱线图,按发动机级别区分

注:白点代表平均值;竖线代表中位数;箱体代表四分位距;竖线代表最小值与最大值(不含异常值);菱形代表异常值。
主发动机负荷低于25%时,氮氧化物平均排放速率最高——所有船舶类型及发动机分级的平均排放量达12克/千瓦时。随着主发动机负荷升高,排放速率逐渐降低:当负荷高于 75%时,平均排放速率降至8.1克/千瓦时。现行氮氧化物测试循环假设船舶发动机主要在高负荷状态下运行;然而,研究发现,发动机实际运行时通常处于低负荷状态。
为提升氮氧化物法规在减少空气污染方面的有效性,可对现有法规进行修订。国际海事组织(IMO)可考虑不再依赖 “加权排放限值”,而是针对新造船舶与现有船舶实施 “不超过(NTE)排放标准”——尤其需关注低负荷运行场景,并在测试中加入“负荷低于25%”的测试工况。
地区/国家
全球研究领域
船舶航运政策分类
空气污染物,达标合规监管
邮 箱:
验证码:
姓 名:
职 务:
*工作机构:
我已阅读并同意 用户协议及个人信息保护政策
更新日期:2025年【1】月【9】日
引言
欢迎您使用由国际清洁交通委员会(美国)北京代表处所有并进行管理的网站 (下称“平台”)。本协议系由您(下称“用户”或“您”)与国际清洁交通委员会(ICCT)北京代表处(下称“我们”)之间就下载和使用平台研究报告所签署的协议。
在下载和使用平台研究报告之前,请您仔细阅读以下条款, 特别是用户个人信息保护政策、限制或免除责任条款、用户使用规则、法律适用和争议解决条款(包括管辖条款), 以及其它以加粗加黑等形式提示您注意的重要条款。
若您不同意本协议, 您有充分且完全的权利停止下载和使用平台的研究报告,但这并不妨碍您浏览平台内容和使用其他的平台服务。点击“同意”按钮即表示您已阅读、充分理解并同意接受本协议。
如果您因年龄、智力等因素而不具有完全民事行为能力,请在法定监护人(以下简称"监护人")的陪同下阅读和判断是否同意本协议。
如果您对本协议有任何的疑问、投诉、意见和建议,或您认为您的个人信息没有得到本政策规定的保护,欢迎您通过下方联系方式联系我们,我们将真诚地处理您的投诉及建议。
联系邮箱:chinacommunications@theicct.org
一、重要须知
1.1 协议范围:本协议包括我们根据法律法规规定以及本协议制定的其他协议、政策、规则、公告声明等(除非特有所指,合称为“本协议”),您均应当遵守。
1.2 修改与更新: 我们有权遵照法律法规规定,在必要时修改本协议(包括适时制定并发布其他政策、规则、公告声明),更新后的协议条款将代替原来的协议并在本平台发布后正式生效, 您可以在相关服务页面查阅最新版本的协议条款。本协议修改后,如果您继续下载和使用平台研究报告的,即视为您已接受修改后的协议。
二、用户使用规则
2.1 您在下载和使用平台研究报告时需要根据平台提示提供一些必要的个人信息,否则可能无法使用该平台服务,或在使用过程中受到限制。
2.2 用户在使用平台时须遵守国家相关法律法规,不得利用平台从事以下行为:
2.2.1 违反本协议约定或恶意使用平台服务;
2.2.2 利用平台侵害他人知识产权、肖像权、隐私权、名誉权、个人信息等合法权利或权益;
2.2.3 进行任何危害计算机网络安全的行为,包括但不限于:使用未经许可的数据或进入未经许可的服务器/账户;未经允许进入公众计算机网络或者他人计算机系统并删除、修改、增加存储信息;未经许可,企图探查、扫描、测试本“软件”系统或网络的弱点或其它实施破坏网络安全的行 为;企图干涉、破坏本“软件”系统或网站的正常运行,故意传播恶意 程序或病毒以及其他破坏干扰正常网络信息服务的行为;利用平台及服 务上传任何病毒、木马,或者蠕虫等危害网络健康的内容;
2.2.4 对平台进行反向工程、反向编译或反向汇编或以其它方式企图发现平台的源代码和算法,未经许可修改、禁用软件的任何功能或创建基于软件的衍生作品。去除平台或文档上的任何所有权声明或标签, 或将其他软件与平台合并;
2.2.5 从事其他法律法规、政策及公序良俗、社会公德禁止的行为以及侵犯或可能侵犯国家利益、国家安全、公共利益或其他个人、公司、机构的合法权益的行为。
2.3 平台仅供用户用于个人学习和了解清洁交通领域相关概念和活动等非营利性质的用途,未经平台允许,用户不可将使用平台过程中所获得服务、信息等内容用于任何商业目的。
三、知识产权保护
平台涉及的任何印刷版及电子版资料,包括图文、研究报告、数据、表格、视频等内容,除特别注明外,其著作权和物质载体的所有权等均属国际清洁交通委员会所有。如您使用平台资料,请您阅读并遵守《ICCT版权许可声明》。
四、个人信息保护政策
4.1 我们收集您的哪些个人信息:
4.1.1 您在下载和使用平台研究报告时需要向我们提供您的姓名(选填)、工作职务(选填)、工作单位(必填)及工作邮箱(必填)。
4.1.2 您充分知晓,在以下情形下,我们收集、使用个人信息无需征得您的授权同意:
4.1.3 根据法律规定,经匿名化处理的个人信息不属于个人信息,对此类数据的保存及处理将无需另行向您通知并征得您的同意。
4.2 我们如何使用您的个人信息:
4.2.1 您的个人信息将被我们用于统计和分析报告下载情况及报告使用群体。
4.2.2 如果需要将您的个人信息用于本政策未载明的其它用途时,我们会另行征求您的明示同意。
4.3 共享、转让、公开披露您的个人信息
平台将严格遵守相关法律法规,对您的个人信息予以保密。除以下情况外,我们不会向其他人共享、转让、公开披露您的个人信息:
4.4 保护您的个人信息
4.4.1 平台非常重视个人信息安全,并会采取一切合理可行的措施,持续保护您的个人信息,以防其他人在未经授权的情况下访问、篡改或披露平台收集的您的个人信息:
4.4.2 平台会采取一切合理可行的措施,确保未收集无关的个人信息。
4.4.3 您理解,由于技术的限制以及可能存在的各种恶意手段,在互联网行业,即便我们竭尽所能加强安全措施,但也不可能始终保证信息百分之百的绝对安全。您需要了解和知悉,您接入平台所用的系统和通讯网络,有可能因我们可控范围外的其他因素而出现问题,在此情形下,我们会依法尽力协助解决。
4.4.4 如不幸发生信息安全事故,我们将按照法律法规的要求,及时向您告知:安全事件的基本情况和可能的影响、我们已采取或将要采取的处置措施、您可自主防范和降低风险的建议等。我们同时将及时将事件相关情况以邮件、信函、电话、推送通知等适合的方式告知您;难以逐一告知信息主体时,我们会采取合理、有效的方式发布公告。同时,我们还将按照监管部门要求,主动上报信息安全事件的处置情况。
4.5 存储您的个人信息
4.5.1 平台承诺始终按照法律的规定在合理必要期限内在存储您个人信息。在超出期限后,我们会对您的相关信息进行删除或匿名化处理。
4.5.2 您的个人信息将全部被存储于中华人民共和国境内。
4.6 管理、查看或删除您的个人信息
4.6.1 平台非常尊重您对自己的个人信息所享有的权利。我们保障您对个人信息所享有的访问、更正、删除、管理等权利。您可通过本协议记载的联系方式联系我们。平台将在收到您的请求后尽快受理,最长不超过15个工作日。
4.6.2 法律、行政法规规定的保存期限未届满,或者删除您的个人信息从技术上难以实现的,我们停止除存储和采取必要的安全保护措施之外的处理。
4.6.3 如果您对平台在以上列明的有关访问、更正、删除、管理您的个人信息方法有任何疑问,您可以通过本协议记载的联系方式与我们取得联系。
4.6.4 对于您合理的请求,平台原则上不收取费用,但对多次重复、超出合理限度的请求,平台将视情况收取一定成本费用。对于那些无端重复、需要过多技术手段、给他人合法权益带来风险或者非常不切实际的请求,平台可能会予以拒绝。
4.6.5 在以下情形下,我们可能无法响应您的请求:
五、服务变更、中断或终止
用户理解,我们需要定期或不定期地对提供服务的平台或相关的设备进行检修或者维护, 也可能因业务调整需变更、终止提供平台服务,如因此类情况而造成平台服务在合理时间内的变更、中断或终止,平台无需为此承担任何责任,但平台会尽可能事先进行通告。
六、免责声明
鉴于互联网服务的特殊性,您理解并同意我们在以下情况下无需对您所遭受的损失(包括但不限于财产、收益、数据资料等方面的损失或其它无形损失)承担责任:
七、违约责任
7.1 如果您存在任何违反本协议约定或违反法律法规和国家有关规定的行为,我们有权采取警示、限制或停止向您提供平台产品与/或服务,同时我们有权单方通知您解除或终止本协议。如果政府或者司法机关要求平台告知进行侵权行为用户的具体信息的,平台有权根据现行法规向其提供相关信息。
7.2 若您的行为给我们造成了任何损失(包括但不限于直接损失、名誉损失、第三方的罚款、索赔等),我们有权全额向您追偿。
八、其他
8.1 本协议条款无论因何种原因部分无效或不可执行,其余条款仍有效,对双方具有约束力。
8.2 本协议签订地为中华人民共和国北京市朝阳区。
8.3 本协议的成立、生效、履行、解释及纠纷解决,适用中华人民共和国大陆地区法律。
8.4 对任何由本协议引起的或与本协议有关的争议, 用户同意通过友好协商的方式解决。协商不成的, 用户同意将争议或纠纷提交本协议签订地有管辖权的人民法院管辖。
8.5 本协议由国际清洁交通委员会(美国)北京代表处享有最终解释权。
同意并继续